| Home Page | Overview | Site Map | Index | Appendix | Illustration | About | Contact | Update | FAQ |
![]() | ---------- (16) |


or SF(x - y) from the pairings, e.g.,

![]() |
Figure 01h corresponds to the scattering of two nucleons by exchanging a pion. The internal line represents the probability amplitude for a virtual particle to travel from one place to another (x y) in a given time with greater than light speed, or to travel with off mass-shell 4-momentum k, which could have arbitrary value in violation of energy-momentum conservation but allowed by the uncertainty principle. Mathematically, it is expressed by the Green's function: |
Figure 01h Nucleon-Nucleon Scattering [view large image] |

is a small positive real constant - a mathematical device taking advantage of the technique of contour integral;
+ 0 will be taken after the integration. The subscript F refers to the Feynman prescription for integrating the Green's functions. They are in a form such that positive energy solutions are carried forward in time, while negative energy solutions are carried backward in time. The latter solution can be interpreted as the anti-particle with positive energy moving forward in time. 
![]() |
![]() |
Table 02 Feynman Rules [view large image] |
Table 03 Momentum Representations [view large image] |
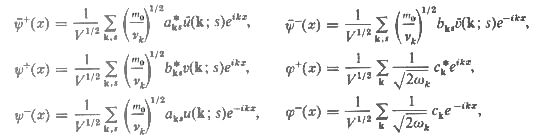
represents the anti-nucleon. In evaluating the S matrix, it is sometimes advantageous to go over to momentum space via the Fourier expansions:
p and
k = (mo2 + k2)1/2, and 4-momentum p and k, for the fermion and boson respectively, while v(p,s) and u(p,s) are Dirac spinors with spin s representing the nucleon and anti-nucleon respectively . The appearance of m0 in the formulas for both fermion and boson is rather confusing, it just indicates the rest mass for whichever particle in the process.
p1,
'p2,
*p3,
'*p4), plus other factors to be shown later.
(k - p1 + p3), or
(k + p2 - p4) for the vertex x or x'.
F(k) for the internal line. It represents the virtual pions for all values of the 4-momentum k.
![]() |
S = (M/V)2(E1E3E'2E'4)-1/2( p1 'p2 *p3 '*p4) {(g02)/[(p1 - p3)2 - m2]} ----- (29),where M and Eps are the mass and energy of the nucleons, V is the normalization volume. |
Feynman and Friends [view large image] |