| Home Page | Overview | Site Map | Index | Appendix | Illustration | Preface | Contact | Update | FAQ |
for the Standard Model. The field equations are derived by minimizing the action, which is related to the Lagrangian density. Thus instead of writing down the field equations explicitly such as in Eqs.(17) - (20) or Eqs.(13) and (38a), the dynamics of the electro-weak interaction can be expressed in term of the Lagrangian density: 
in Eq.(40) consists of three parts.
1 is the gauge bosons part;
2 is the fermionic part; and
3 is the scalar Higgs sector, which generates mass for the gauge bosons and the fermions.
:
and
are indices for the space-time components running from 1 to 4. Whenever an index appears in both the subscript and superscript, it signifies a summation over these components.
is related to the three gauge (vector) bosons with the index "a" running from 1 to 3.
is the anti-symmetric tensor for the electromagnetic field as shown in Eq.(24), where the vector potential A
is now denoted by B
.![]() | ---------- (42f) |
.
are the Pauli matrices as shown in Eq.(10) in the appendix on "Groups" with i running from 1 to 3. The four 4X4 gamma metrices
are constructed from the Pauli matrices and the identity matrix,
, and
is the adjoint spinor of
where 
is the Hermitean conjugate ,
.
and B
boson respectively. Ge is the Yukawa coupling constant, which defines the strength of the interaction between the Higgs field and the lepton fields.
is the Higgs doublet with four real components, three of which will be absorbed by the W
, and Z0 to become massive. The diagram below shows a simplified Higgs field in the shape of a Mexican hat:
(-2m2/
)1/2 (the scalar field at minimum energy) by the transformation
' =
- v, the fields Wa
and B
recombine and reemerge as the physical photon field A
, a neutral massive vector particle Z
, and a charged doubled of massive vector particles W
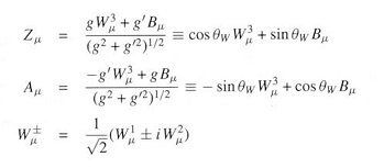
. In terms of the Weinberg angle (mixing angle) tan
= g'/g,
, W
3) to (A
, Z
) can be considered as a rotation of the mixing angle.
W = (4
)1/2 = 0.3028, and from the measurement of sin2
W = 0.226
0.004 to evalutate the masses for the gauge bosons. The theoretical values are in good agreement with MW = 80.4 Gev, and MZ = 91.19 Gev determined by experiments.
![]() | ---------- (43) |

is similar to the SU(2) gauge field in Eq.(42b). This is essentially the Yang-Mills field developed back in 1953 by generalizing the gauge invariance used in QED. It represents the eight massless gluons carrying the SU(3) "colour" force with the index "a" running from 1 to 8.
=
.![]() | ---------- (43a) |
![]() | ---------- (44) |
![]() |
represents the covariant derivative. These terms signify interaction with the gauge bosons. |
Figure 04 Standard Model |
The actual numerical values of these coupling constants are not given by the theory and must be measured from experiments. |
1 such that the mixed state
1 + s sin
1.
b baryons. The bottom quark within these baryons can turn into an up quark during the process. It is from such observations that the weak interaction involves only left-handed fermions is re-affirmed.
| where | ![]() | ![]() |
![]() |
cij = cos ij, sij = sin ij, and the phase angle tunrs some matrix elements into complex numbers, thereby violates CP invariance (CP invariance demands that V* = V).Experimentally, the mixing angles ij are either smaller than or comparable to the Cabibbo angle 1 ~ 15o. Thus, the quark mixing is relatively unimportant. A similar mixing matrix exists in neutrino mixing between the flavor states ( e, ![]() , ![]() )
and the mass (mixed) states ( 1, 2, 3). Neutrino mixing is large in comparison to the quark mixing as shown inFigure 04h. It leads to the detection of neutrino mass. |
Figure 04h Flavor Mixing |
The mixing angle must have the same value for every electroweak process. It is observed to have the same value everywhere, to an accuracy of about one percent. Other successful predictions include the existence of the W and Z bosons, the gluon, the charm and the top quarks. Z boson decays have been confimred by LEP in 20 million of such events. |


. Quantum Fields form the physical foundation of the Standard Model (SM) of particle physics. The Standard Model is fundamentally a quantum field theory (QFT), specifically a combination of quantum mechanics and special relativity, where the entities of interest are fields rather than particles.
Changing the gauge does not change the position of the ship (the field in QFT).
.
Pictorial Examples for Specific fields :![]() |
In spite of these shortcomings as mentioned above, the Standard Model has been proven to be remarkably resilient under various verifications including the latest measurement for the mass of the Higgs particle. The most recent attempt (in 2013) to break SM is to measure the shape of some nuclei, which would become pear-shaped (Figure 05a) in the presence of permanent electric dipole moment |
Figure 05a Pear-shaped Nucleus [view large image] |
(EDM). Since EDM would violate the T symmetry (and thus also introduce CP violation) in SM, the detection of specific radiation patterns (from the pear-shaped nuclei) will indirectly indicate the necessity of new physics. It is found that radon (Z=86) shows only modest enhancement of the octupole |