| Home Page | Overview | Site Map | Index | Appendix | Illustration | About | Contact | Update | FAQ |
d
2 + d
2) ---------- (13)
d
2 + d
2) ---------- (13a)
in classical mechanics and the metric tensor g00 in general relativity is linked by the formula :
/c2 ---------- (13b).
= -GM/r or in term of the gravitational force (applied on m, exerted by M) F = -m(d
/dr) = -GMm/r2 ---------- (13c) ,
, and total mass M, the space-time metric (neglecting the angular parts) is in the form (Figure 08a,a) :
![]() |
|
Figure 08a Schwarzschild Metric - Interior, |
![]() |
![]() |
|
Figure 08b1 Polytropic Equation of State [view large image] |
![]() |
![]() |
Also see another scale of the Sun's density (Figure 08b2), which emphasizes the near constant profile. This equation is for the case of hydrostatic equilibrium in ordinary stars where the stability is maintained by nuclear burning (Figure 08c2). The full-fledged version goes by the moniker of Tolman-Oppenheirmer-Volkoff (TOV) equation which includes both the special relativistic effect in p/c2 and the general relativistic effect in 1/[r-rs(m/M)]. The equation becomes invalid when the star fails to generate outward pressure to counter the inward crush by gravity. |
Figure 08b2 Sun's Density Profile [view large image] |
![]() |
![]() |
For example, the maximum mass supported by electron degeneracy is 1.4 Msun in white dwarf with R ~ 6x108cm, rs ~ 4x105cm. On the other hand for neutron star, it is estimated that nuclear repulsion can up hold a maximum of about 2 Msun. At R ~ 6.6x105cm and rs ~ 6x105cm, AR2 = rs/R = 0.9, density ~ 5x1015 gm/cm3, such star is at the limit of hydrostatic balance (see Figure 08d). It lasts for a long long time. |
Figure 08c1 Interior of the Sun [view large image] |
Figure 08c2 Hydrostatic Equilibrium |
In Figure 08c1, 1 bar = 10-6 dynes/cm2 = 10-6 gm/cm-sec2, 1 bar/c2 ~ 10-15 gm/cm3. |
![]() |
![]() |
|
Figure 08d Eq. of State, Cold-Dead Matter [view large image] |
Figure 08e Post-Main-Sequence [view large image] |
There is nothing that can stop the collapse to black hole. The event occurs while the star is still a supergiant, the remaining hydrogen-rich atmosphere is ejected during the process known as type II supernova. |
![]() |
![]() |
|
Figure 08f BH Space-time |
Figure 08g Black Hole and White Hole Light Rays [view large image] |
|
n[(r - rs)/(R0 - rs)] ---------- (13d)
rs.
1/(1 - rs/r)
(1/c)[(r - r0) + rs
n|(r - rs)/(r0 - rs)|] ---------- (13e)
ct + [rs
n|(r - rs)/(r0 - rs)|],
r/(r - rs) + rs/|(r - rs)| ---------- (13f).
= ds
0).
ct - [rs
n|(r - rs)/(r0 - rs)|],
r/(r - rs) - rs/|(r - rs)| ---------- (13g). ![]() |
it starts with the normal speed c(dT/dr) = -1 outside for r >> rs, but becomes outgoing ray inside from the center (see Figure 08g). This locus is similar to the view of distant observer in Figure 08f. Therefore, this time T represents both views of local and distant observers of the white hole, which is not yet observed in this world. |
Figure 08h White Hole |
Figure 08h is an embedding diagram of a white hole - the upside down version of the black hole in Figure 09a. Also see "wormhole". |
![]() |
![]() |
|
Figure 09a Black Hole, 3-D Spatial Curvature [view large image] |
Figure 09b |
![]() |
= o / (1 - rs/r)1/2 where r is the distance of the light source with respect to rs, and the observer is assumed to be at infinity. The redshift becomes infinity when r = rs. This is the effect that makes light invisible with the source at rs. |
Figure 09c Redshift |
On the other hand if the positions of the source and observer are switched, the wavelength will be blue shifted according to the formula: = (1 - rs/rob)1/2 o. There would be no change of wavelength if both observer and source are falling together into the black hole. |
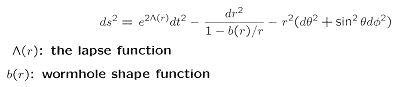
![]() | ---------- (15a) |
![]() |
The lapse function defines the proper time as function of r; while the shape function determines the shape of the worm hole. The shape function takes on a very simple form for the case of the Schwarzschild's metric, i.e., b(r) = 2GM / c2 = rs. The throat of the wormhole is located at r = b(r) = rs in this case. Figure 09h is a computer generated embedding diagram of a blackhole, a wormhole, and a whitehole. The surface of the diagram measures the curvature of space. Color scale represents rate at which idealized clocks measure time; red is slow, blue fast. |
Figure 09h Wormhole |
Another way to conceptualize a wormhole topology is to have the spatial part of the space-time metric in Eq.(15a) imbedded in a flat hyperspace with the extra-dimension denoted by W: |
![]() |
![]() |
dl2 = dW2 + dr2 + r2 (sin2 d 2) = dr2 / (1 - rs/r) + r2 (sin2 d 2) ---------- (15b)Eq.(15b) can be used to equate dW = (r/rs - 1)-1/2dr. Integration of the equation gives W2 = 4rs(r - rs), which is a parabola function with vertex at W = 0, r = rs. Sweeping the curve around the W axis to include all values of from 0 to 2 results in a paraboloid surface as shown in Figure 09i.
|
Figure 09i Worm- hole in Hyperspace [view large image] |
Figure 09j Worm- hole Throat |
![]() |
![]() |
wormhole may become feasible. The negative mass ensures that the throat of the wormhole lies outside the horizon (since the new event horizon is now 2(M-m)G/c2), so that travelers can pass through it, while the positive surface pressure of such exotic material would prevent the wormhole from collapsing. This would allow for shortcut in space travel within the wormhole between two distant points (Figure 09k), or for the possibility of time travel courtesy of LHC (Figure 09l). |
Figure 09k Space Travel [view large image] |
Figure 09l Time Travel [view large image] |