Home Page Overview Site Map Index Appendix Illustration About Contact Update FAQ


Wave Equations


Derivation of the Dirac Equation and the Weyl Spinor

In 1928 P.A.M. Dirac tries to resolve the problem with negative energy by writing the energy equation in linear form (in natural units) :
{[bE - ap] - m} = 0 --------- (23)
where a and b are to be determined by demanding that the square of Eq.(23) takes the same form of Eq.(15), i.e., {[E2-p2] - m2} = 0. This scheme does not quite work since it is impossible to eliminate the cross terms between E and p. A more promising way is to break up the energy equation into the form such as Eq.(24) :
[b2E2 - (axpx)2 + (aypy)2 + (azpz)2)] = [bE - (axpx + aypy + azpz)][bE + (axpx + aypy + azpz) = m2 ---------- (24)
Beside the trivial case of a = b = 1, a new formulation emerges if the ak's and b take the forms of the 2x2 Pauli matrices, and 2x2 identity matrix respectively (the Pauli matrices are more often denoted as i instead of ak, and the identity matrix as I instead of b) :
---------- (25)
By substituting the canonical quantization rules of Eqs.(18a), (18b) into Eq.(24), we obtain (in natural units) :
[i( + )][i( - )]u = m2u ---------- (26)
;
and by defining :
v = (1/m)[i( - )]u
where
u = ---------- (27a)
v = ---------- (27b)
Dirac Equation Eq.(26) breaks up into :
[i( - )] u = m v ---------- (28a)
[i( + )] v = m u ---------- (28b)
By taking the sum and difference of Eq.(28a) and Eq.(28b), the original form of the Dirac equation is recovered :

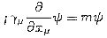
Figure 02e Dirac Equation [view large image]

Eqs.(28a) and (28b) are equivalent to the original equation written down by Dirac as shown in Eq.(28c), and more concisely :
---------- (29a)
where the repeated index in the expression indicates a sum, and the gamma matrices i and the 4-components field (usually known as Dirac spinor) are expressed in the forms :

or
---------- (29b)
This is the Dirac equation cast in stone inside the Westminster Abbey (see Figure 02e). The negative energy is still there, but the new form of equation turns out to be the one that governs all the particles in the material world, which consists of spin 1/2 particles, while particles of integral spin carry out interaction between the spin 1/2 particles. The 4-component Dirac representation describes the fermion or anti-fermion, which is now associated with the negative energy. The 2-component form in chiral representation (called Weyl spinors as shown by Eqs.(28a,b)) stands for the left-handed and right-handed fermions. The left-handed one is used in the Standard Model to designate the left-handed neutrino and electron. The right-handed one represents only the electron, which does not participate in weak interaction. Thus fundamentally, weak interaction is chiral, i.e., lacking left-right symmetry, parity violation, and no right-handed neutrino.

Go to Next Section
 or to Top of Page to Select
 or to Main Menu

.